
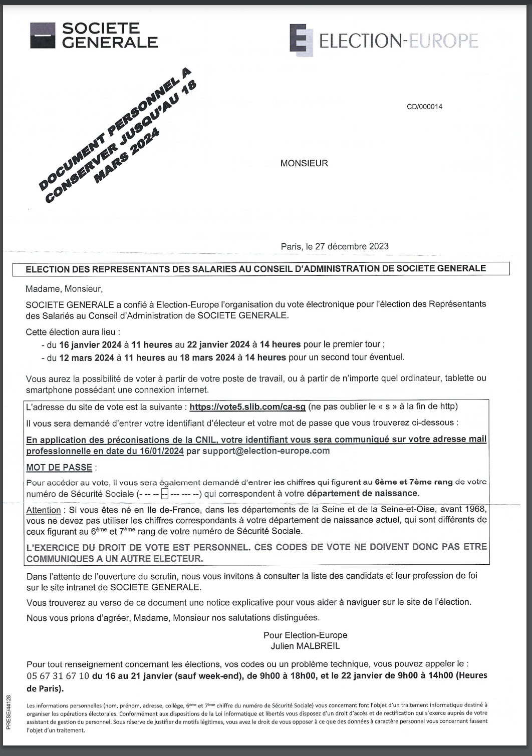
Elections conseil d'administration 2024 : Lettre au domicile
Écrit par Philippe FOURNILInformations supplémentaires
- onesignal: 0
Dernier de Philippe FOURNIL
- Les infos du 14 Janvier 2026 : Tous nos voeux pour cette nouvelle année ! -
- Accord emploi signé ( CFDT CFTC SNB ) 15 décembre 2025
- Accord salarial signé (CFDT CFTC SNB) le 17 décembre 2025 & Supplément d'intéressement
- Manager entre vitesse et précipitation - 14 janvier 2026
- Réunion plénière du CSEC - Décembre 2025